联系我们
全国咨询热线:13033580493
靖江菲尔空调设备制造有限公司联系人:姚先生
电话:0523-84980593
手机:13033580493
传真:0523-84523339
地址:江苏省靖江市团结开发区
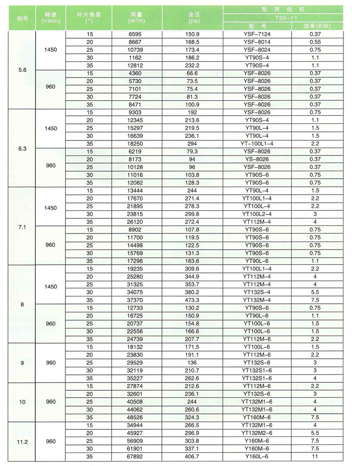
T35-11系列轴流风机
【产品详情】
特性与应用:
T35-11系列轴流式风机是在T30-11的基础上改进设计的新型风机。它比T30-11风机效率高、噪音低、结构更合理。本系列风机广泛应用于一般工厂、仓库、办公室、住宅内通风换气机或强暖气散热,也可在较长的排气管道内间隔串联安装,以提高管道中的压力。
本系列风机有十三个规格,每一规格风机的叶片数都为4个,叶片角有150,200,250,300,350五种,参数范围广,风量826-67890m3/h,风压38.2-460.7Pa(详见参数表)



浏览更多 T35-11系列轴流风机 的内容
【其它产品】
