联系我们
全国咨询热线:13033580493
靖江菲尔空调设备制造有限公司联系人:姚先生
电话:0523-84980593
手机:13033580493
传真:0523-84523339
地址:江苏省靖江市团结开发区
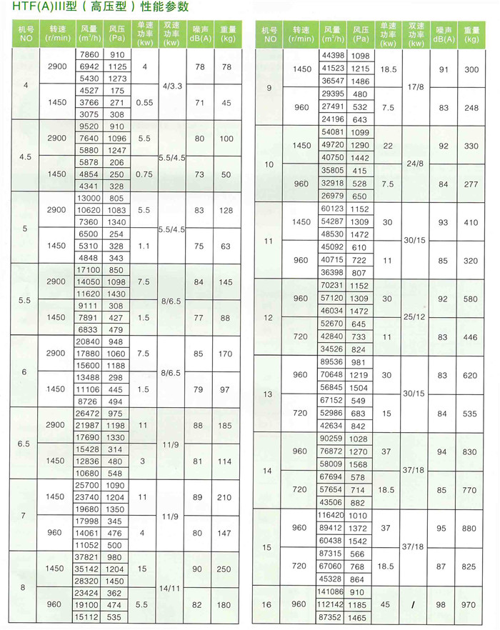
HTF系列轴流式消防排烟风机
【产品详情】
特性及应用:
HTF轴流排烟风机设计独特,高温电机全封闭内置,配设专门的电机冷却系统,采用CAD软件多目标优化设计的轴流和混流叶轮结构,通过多速驱动形式,达到一机两用(即常用送排通风和消防使用时高温排烟),配设电控箱后可远程自动控制。具有耐高温性能优良、效率高、体积小,安装简便(水平、垂直、吊装均可)等优点,广泛应用于高层建筑、烘房、地下车库、地铁、隧道等场合消防排烟和送排通风。按GA211-2009《消防排烟风机耐高温试验方法》标准条款4.4.3.7测定,能在280。C高温条件下继续运行30分钟以上无异常,已被全国各大城市消防部门认可采用。相关产品已通过国家3C强制认证。




浏览更多 HTF系列轴流式消防排烟风机 的内容
【其它产品】
