联系我们
全国咨询热线:13033580493
靖江菲尔空调设备制造有限公司联系人:姚先生
电话:0523-84980593
手机:13033580493
传真:0523-84523339
地址:江苏省靖江市团结开发区
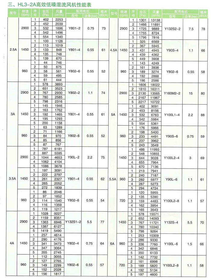
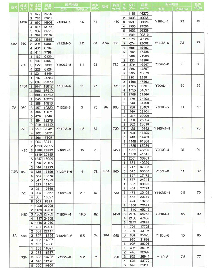
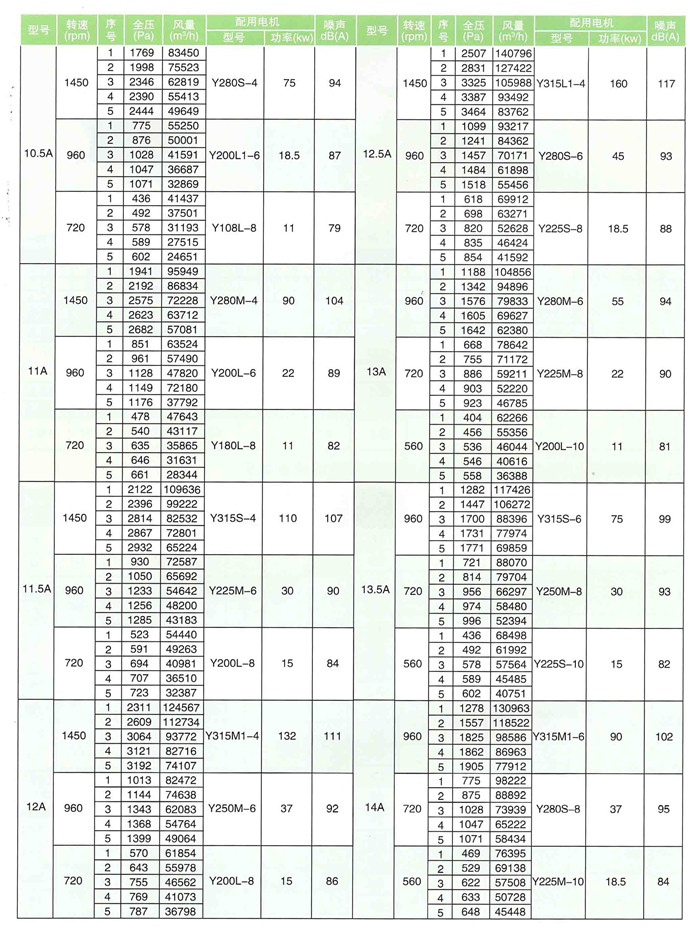
HL3-2A高效低噪混流风机
【产品详情】
HL3—2A高效低噪混流风机用途与特点:
HL3—2A混流式风机用于通风换气;适用于地下车库、地下建筑、隧道等场所。具有效率高、节能、低噪声、安全方便等特点。




浏览更多 HL3-2A高效低噪混流风机 的内容
【其它产品】
