收藏本站 | 在线留言 | 联系我们 | 网站地图

欢迎来到靖江菲尔空调设备制造有限公司官网!

全国咨询热线:13033580493

联系我们
全国咨询热线:13033580493
靖江菲尔空调设备制造有限公司
联系人:姚先生
电话:0523-84980593
手机:13033580493
传真:0523-84523339
​地址:江苏省靖江市团结开发区

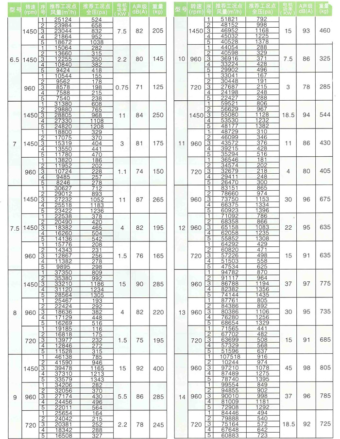
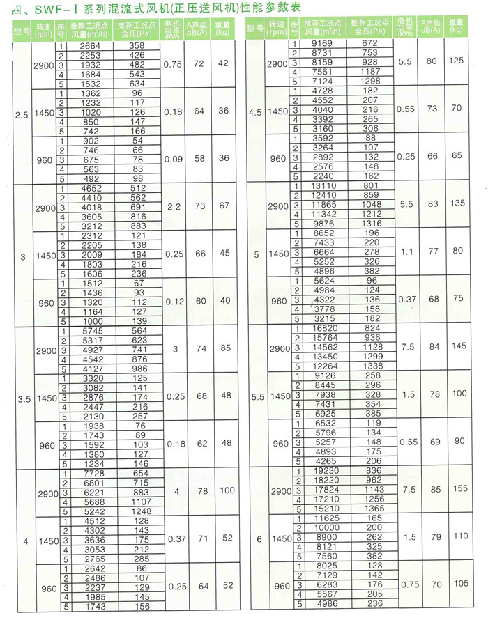
SWF系列混流式风机

SWF系列混流式风机

SWF系列混流式风机 产品名称:SWF系列混流式风机
产品描述:SWF系列混流式风机,靖江菲尔空调设备制造有限公司
在线询盘
【产品详情】

SWF系列混流式机风机用途与特点:
结构紧凑、安装方便、噪声低、适用范围广。

广泛用于公共建筑、民用建筑及工矿企业的送排风系统中。

上一条:FX型风机箱
下一条:排烟防火阀
浏览更多 SWF系列混流式风机  的内容