收藏本站
|
在线留言
|
联系我们
|
网站地图
欢迎来到靖江菲尔空调设备制造有限公司官网!
全国咨询热线:
13033580493
首页
公司简介
新闻资讯
产品中心
人才招聘
客户留言
联系我们
产品分类
空调配件系列
空调机组、油烟净化、地铁产品系列
风机系列
联系我们
全国咨询热线:
13033580493
靖江菲尔空调设备制造有限公司
联系人:姚先生
电话:0523-84980593
手机:13033580493
传真:0523-84523339
地址:江苏省靖江市团结开发区
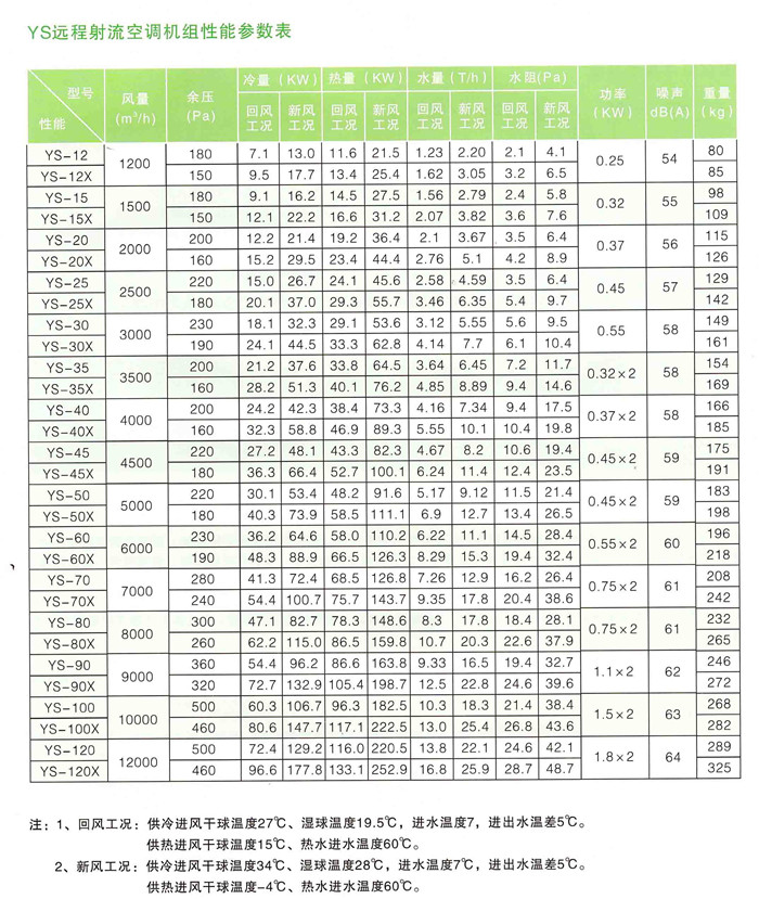
YS远程射流空调机组
首页
>
空调机组、油烟净化、地铁产品系列
>
YS远程射流空调机组
产品名称:YS远程射流空调机组
产品描述:YS远程射流空调机组,靖江菲尔空调设备制造有限公司
在线询盘
【产品详情】
上一条:
FP系列风机盘管机组
下一条:
地铁系列
浏览更多
YS远程射流空调机组
的内容
【其它产品】
无纺布过滤袋
BDW系列玻璃钢屋顶风机
FX型风机箱
空气幕
通风软管
【其它新闻】
医用中央空调市场潜力大
3c防火阀的施工装置需求注意哪些方面
哪些场所可以使用组合式空调器?效果怎么样?
针对新风换气机的应用非常容易出現什么常见故障
防火阀与排烟防火阀的不同之处
组合式空调机组、柜式空调机组的区别介绍